کلکتورها توزیعکنندههای جریان هستند و بهطورمعمول از جنسهای فولاد سیاه، گالوانیزه و یا برنج ساخته میشوند[1]. این ابزارها برای توزیع آب سرمایش و گرمایش در سیستمهای بسته، آب مصرفی و انتقال گاز استفاده میشوند[2]. اما استفاده آب در کلکتورهای فولاد سیاه ممکن است در طولانیمدت باعث خوردگی شود و طول عمر آنها را کاهش دهد. همچنین، کلکتورهای برنجی نیازمند آبکاری هستند و به لحاظ وزن و قیمت، بسیار سنگین و گران میباشند. حالا بهتر نیست از آلیاژهای خاص آلومینیوم استفاده کنیم؟ آلومینیوم به لحاظ وزن سبکتر و ارزانتر است و با پوششهای نانوساختار اکسیدی، میتوان آن را در تأسیسات ساختمان برای سیستمهای سرمایش و گرمایش، آبرسانی سرد و گرم و گازرسانی به کار برد[۳].
در حال حاضر، برای ساخت کلکتورهای مقسم آب از آلیاژ برنج با پوشش کرم روی سطح آن استفاده میشود[۴]. اما این روش دارای مشکلاتی است. برنج آلیاژی از مس و روی است که معمولاً حاوی قلع و آرسنیک نیز است. آرسنیک عنصری بسیار سمی برای بدن انسان است، بالاخص موقعی که بهصورت وارد شده در آب شرب باشد[۵]. همچنین، قیمت بالای برنج و وزن بالای قطعات برنجی از مشکلات عمده محصولات ساخته شده با این آلیاژ است. از طرفی از آنجا که برنج آلیاژی از عناصر روی و مس است که نمیتوان بهصورت دقیق مقداری مناسب از میزان هر عنصر در آلیاژ بیان کرد و ترکیبهای متفاوتی را ایجاد خواهد کرد، لذا گاها تفاوت ساختاری زیادی در برنج انتخابشده برای ساخت کلکتور را مشاهده خواهیم کرد که همین امر سبب خواهد شد که عمر مفید کلکتور برنجی تحت تأثیر قرار گیرد و در ترکیبات خاصی از برنج، گاها کاهش یابد.
در این راستا، تولید کلکتورهای مقسم آلومینیوم با پوشش اکسید آلومینیوم یا آلومینا میتواند جایگزین مناسبی برای برنج باشد[۶]. آلومینیوم به دلیل وزن سبکتر و قیمت مناسبتر، گزینهای جذابتر برای تولید کلکتورهای مقسم آب است[۲]. اگرچه آلیاژهای آلومینیوم به دلیل نقاط ضعفی مانند کمتر بودن سختی و مقاومت به خوردگی نسبت به برنج، در برخی موارد مورد ترجیح قرار نمیگیرند اما با استفاده از پوششهای اکسیدی نانوساختار بر روی سطح آلیاژهای آلومینیوم، میتوان این نقاط ضعف را بهبود بخشید و رفع نمود. این پوششهای اکسیدی قبلاً برای قطعاتی نظیر ظروف آشپزخانه، هیتسینکهای دفع حرارت و آبگرمکنهای خورشیدی نیز استفاده شدهاند[۱]. اما مشکلاتی در تأسیسات و سامانههای موردنیاز برای ایجاد این پوششها وجود داشته که با بهرهگیری از طراحیهای نوین و استفاده از دانش روز الکترونیک، این مشکلات قابلحل هستند.
همانطور که اشاره شد، با ایجاد لایه اکسیدی نانوساختار سخت و چسبنده بر روی سطح آلومینیوم، میتوان نقاط ضعف آلومینیوم را بهبود بخشید. پوشش اکسیدی ایجاد شده روی آلومینیوم، اکسید آلومینیوم یا آلومینا است. آلومینا یکی از مواد سرامیکی مهم است که دارای خواص مکانیکی برجستهای مانند استحکام فشاری بالا، سختی بالا و مقاومت به خوردگی است[۷]. بهعلاوه، آلومینا به دلیل خنثی بودن و عدم واکنشپذیری، از نظر بهداشتی تمام استانداردهای روز دنیا را تأمین میکند، به همین دلیل سالها از این پوشش در ساخت ظروف آشپزخانه (ماهیتابه و قابلمه) استفاده میشود[۲], [۷]. بهطورکلی، آلومینا به دلیل خواص فیزیکی و شیمیایی منحصربهفرد خود، در بسیاری از صنایع و کاربردها مورداستفاده قرار میگیرد و نقش مهمی در تولید محصولات صنعتی و مصرفی دارد.
در فرآیند تولید کلکتورهای مقسم آب و بوشن مغزی، اتصالات پلیمری بهکاررفته که در ساخت آنها از آلیاژهای برنج استفاده میشود، با مشکلاتی همچون مقاومت کم به سایش، ناهنجاریهای بهداشتی، چگالی بالا، نسبت استحکام به وزن کم و قیمت بالای برنج روبرو است[۸]. اما با انتخاب صحیح آلیاژ آلومینیوم و ایجاد پوششهای نانوساختار اکسیدی بر روی سطح این فلز، میتوان تمام این نقاط ضعف را برطرف کرد[۱]. در ساخت این محصول، از گریدهای خاص آلیاژهای آلومینیوم استفاده میشود که خود این آلیاژ، بدون پوشش، ویژگیهای منحصربهفردی دارد. آلیاژهای این نوع آلومینیوم یکی از مواد پرکاربرد در صنعت است و بهصورت ورق، پروفیل، لوله بدون درز، میله، لوله اکسترود شده و در ساخت بدنه قایقهای کوچک، ساختمانها، لوازم منزل، خطوط لوله (مانند سیستمهای هیدرولیک برای روغن و گاز و کندانسورها) و در مواردی که نیاز به سازههای با استحکام، قابلیت جوشکاری و مقاومت در برابر خوردگی داریم، کاربرد دارد[۱]. این اقدامات علاوه بر افزایش کارایی محصولات، میتواند به بهبود پایداری و عمر مفید آنها نیز کمک کند.
شکل ۱. تصویر انواع کلکتورها با تعداد انشعابهای متفاوت.
1.1 مزایا:
ایجاد یک لایه اکسیدی (آندایزینگ) بر روی سطح آلومینیوم، به میزان زیادی کاربرد آلومینیوم و آلیاژهای آن را افزایش داده است و در مکانهایی استفاده میشود که کاربرد آلومینیوم آندایز نشده ممکن نیست. استفادههای متنوعی از این پوششها وجود دارد، از جمله استفاده بهعنوان زیرلایهای برای رنگآمیزی و سایر فرآیندهای آلی، ایجاد میانلایه برای مواد چسبنده، و تولید لایههای نانومتخلخل برای فرآیند آندایز[۱].
این فرایند میتواند یک لایه اکسیدی با ضخامت دلخواه و مقاوم به خوردگی ایجاد کند که وضعیت ظاهری آلومینیوم را بهبود بخشیده و از این طریق کاربرد آلومینیوم را به مواردی که نیاز به ظاهری زیبا نظیر لوازم ورزشی، صنعت دارویی، بهداشتی و بستهبندی باشد یا مقاومت به خوردگی خیلی بالا موردنیاز باشد، نظیر صنایع کشتیسازی، گسترش دهد[۲], [۴].
آلومینیوم آندایز به خاطر خواص گوناگون و متفاوتی همچون خواص دیالکتریک مناسب برای خازنهای آلومینیومی و نانومتخلخل برای فیلترها و بیوحسگرهای شیمیایی، توجه زیادی را به خود جلب کرده است[۹]. از طرفی به خاطر سادگی و تجزیهپذیری فرآیند تولید، آلومینیوم آندایز بهصورت گستردهای برای کاربردهای معماری و ساختمانی استفاده میشود. از همین رو شناخت و درک صحیح از خواص آلومینیوم و خواص پوششهای نانوساختار اکسیدی بهراحتی میتواند کاربردهای بسیار متنوعی را پیش روی قطعاتی از جنس آلومینیوم پوششدار، قرار دهد. مزایای کلکتور و بوشنهای ساخته شده با آلیاژ آلومینیوم با پوششهای نانوساختار اکسیدی نسبت به آلیاژ برنج به شرح زیر است:
- سختی: آلومینیوم آندایز شده با سختی حدود 800 تا 1000 ویکرز (معادل 65 تا 70 راکول سی)، از برنج که در بهترین شرایط تمپر و ترکیب، سختی حدود 200 ویکرز دارد، بسیار سختتر است[۱], [۲].
- مقاومت در برابر سایش: پوششهای آندایز سخت، با چسبندگی و سختی بالا، سطح قطعه را به شدت در برابر سایش محافظت میکنند[۱], [۱۰]. همچنین، به دلیل ماهیت سرامیکی پوشش، در مواجهه با کوپلهای سایشی نسبت به کوپلهایی از نوع فلز-فلز، ضریب اصطکاک کمتری دارند که منجر به افزایش مقاومت در برابر سایش میشود[۲].
- مقاومت در برابر خوردگی: آلومینیوم بهطور ذاتی مقاوم به خوردگی است و مقاومت به خوردگی آن از بهترینها در انواع آلیاژهای مهندسی است[۱۱]. همچنین آلومینیوم آندایز شده به دلیل ترکیبات اکسیدی بر روی سطح و ضخامت بالای آن، مقاومت بسیار بالایی در برابر رسوب نمکها و محصولات خوردگی دارد[۱۱]. این ویژگی آن را برای محیطهای خورنده و محیطهایی که مستقیماً در معرض آبوهوا هستند، مناسب میسازد که در مقایسه با برنج که به دلیل حضور آرسنیک و مس ممکن است به خوردگی حساس باشد، آلومینیوم آندایز شده مقاومت بیشتری در برابر خوردگی دارد.
- خنثی بودن از نظر شیمیایی: آلومینیوم آندایز شده به دلیل لایههای سطحی اکسیدی که باعث میشود فلز از حالت فعال خارج شود، مقاومت بسیار بالایی به مواد شیمیایی دارد[۷]. این ویژگی باعث میشود که در مقایسه با مس و آلیاژهای آن، آلومینیوم آندایز شده مقاومت به مواد شیمیایی بسیار بالاتری داشته باشد.
- زیست محیطی: آلومینیوم آندایز شده از نظر زیستمحیطی بسیار مطمئن است. پوششهای آندایز قابلیت بازیافت بدون هیچگونه خطری برای محیطزیست را دارند[۷]. همچنین، بازیافت آلومینیوم زمینه نیز از آن جهت که دمای ذوب پایینتری دارد راحتتر بوده و مشکلات زیستمحیطی کمتری از مس و آلیاژهای آن دارد.
شکل ۲. مزایای استفاده از کلکتورهای نانویی.
2. تحلیل هزینه-فایده استفاده از کلکتورهای آلومینایی پوشش داده شده با نانوذرات:
در جدول 1 به مقایسه یک کلکتور 6 انشعابه با قطر اصلی 1 اینچ و قطر هر انشعاب خروجی 2/1 اینچ از دو نوع نانویی و غیرنانویی موجود در بازار پرداخته شده است که تمامی مشخصات موجود در آن، در طی تماس با واحد فروش هر شرکت در دیماه سال 1402 به دست آمده و ذکر شدهاند.
جدول1. قیمت کلکتورهای شرکتهای مختلف
| مدل 6 انشعابه | ||||||
| ردیف | شرکت | جنس | قطر اصلی (inch) | قطر خروجی هر انشعاب (inch) | وزن
(gr) |
میزان سختی (VH) |
| 1 | کلکتور نانویی | آلومینا با پوشش نانوذرات | 1 | 0.5 | 540 | 800 – 750 |
| 2 | کلکتور غیرنانویی | فولاد | 1 | 0.5 | 00 0/20 | 300 – 200 |
| 3 | کلکتور غیرنانویی | برنج | 1 | 0.5 | 850 | 200 – 100 |
همانطور که از جدول 1 قابل مشاهده است، کلکتور نانویی از وزن کمتر و میزان سختی بسیار بیشتری نسبت به دو محصول کلکتور غیرنانویی دیگر (فولادی و برنجی) برخوردار است که این مزیت میتواند بهعنوان نقطه عطفی برای کلکتور نانویی محسوب گردد که این نوع کلکتور را قادر میسازد در برابر شرایط محیطی مختلف همچون مقاومت در برابر خوردگی و سایش بسیار بالا مقاوم کند.
در جدول 2 لیست قیمت دو محصول کلکتور نانویی و غیرنانویی که کلکتور غیرنانویی از دو جنس فولادی و برنجی است ذکر شده است، که از اطلاعات آن میتوان بهعنوان مقایسهای از نوع هزینه_فایده برای دو نوع کلکتور معمولی و کلکتور تولید شده بر پایه نانوذرات استفاده کرد.
جدول2. فرضیات تحلیل هزینه فایده[1]
| نوع | قیمت (تومان) |
| قیمت کلکتور نانویی | 800/517 |
| قیمت کلکتور غیرنانویی (فولادی) | 000/000/20 |
| قیمت کلکتور غیرنانویی (برنجی) | 300/455 |
همچنین در جدول 3 و 4 به بررسی هزینه_فایده استفاده از دو نوع از کلکتور نانویی و غیرنانویی (برنجی و فولادی) پرداخته شده است که شامل اطلاعاتی از قبیل قیمت، میانگین عمر مفید و میزان درصد حجمی بهینه شده این دو نوع محصول است. طبق جداول 3 و 4 میتوان دریافت که هزینه صرفهجویی شده در صورت استفاده از کلکتور نانویی قابلملاحظه بوده و بنابراین استفاده از این نوع کلکتورها توجیه اقتصادی دارد. همچنین برای انجام مقایسهها کلکتورها جهت تعیین میزان عمر مفید هر نوع از آنها، شرایط یکسان و البته نسبتاً خاصی اعم از فشار 15 بار، دمای C° 100 و pH=5 که یک pH اسیدی و خورنده است و میتواند سبب خوردگی کلکتور شود را در نظر گرفتهایم تا عمر مفید آنها تحت این شرایط نسبتاً خاص و ویژه بررسی گردد.
فرمول درصد حجمی بهینه شده برابر است با:
Pi: درصد حجمی بهینه شده در صورت استفاده از کلکتور نانویی،
Cw: هزینه موارد با فناوری نانو،
Cn: هزینه موارد بدون فناوری نانو.
بهعنوانمثال، درصد حجمی بهینه شده قیمت دو کلکتور نانویی و غیرنانویی (فولادی) به روش زیر محاسبه میشود:
جدول3. بررسی هزینه _ فایده استفاده از کلکتورهای نانوساختار و غیرنانوساختار (برنجی) ( P=15 bar, T=100 C°, pH=5)
| تعداد | قیمت کل (تومان) | میانگین عمر مفید (سال) | درصد حجمی بهینه شده | ||
| کلکتور نانوساختار | 1 | 800/517 | 10 | خرید کلکتور | عمر مفید |
| کلکتور غیرنانوساختار (برنجی) | 1 | 300/455 | 7.5 | % 13.72+ | % 25+ |
| اختلاف قیمت و عمر مفید | 500/62 تومان | 2.5 سال | |||
جدول4. بررسی هزینه _ فایده استفاده از کلکتورهای نانوساختار و غیرنانوساختار (فولادی) ( P=15 bar, T=100 C°, pH=5)
| تعداد | قیمت کل (تومان) | میانگین عمر مفید (سال) | درصد حجمی بهینه شده | ||
| کلکتور نانوساختار | 1 | 800/517 | 10 | خرید کلکتور
|
عمر مفید |
| کلکتور غیرنانوساختار (فولادی) | 1 | 000/000/20 | 12.5 | %3762.4 – | %20 – |
| اختلاف قیمت و عمر مفید | 200/482/19 تومان | 2.5 سال | |||
همانطور که از جدول 3 پیدا است، کلکتورهای نانویی اختلاف قیمتی تقریباً معادل %13.72+ با کلکتورهای برنجی دارند و از این حیث حدوداً 500/62 تومان به ازای هر کلکتور 6 انشعابه گرانتر از نوع برنجی هستند، اما از طرفی کارایی و عمر مفید هر کلکتور نانویی، بهطور متوسط بیش از %25 نسبت به کلکتور برنجی است که اگر برای یک بازه 50 ساله در یک ساختمان بخواهیم از 1 کلکتور تحت شرایط خاص و ویژه موجود در جدول 3 یعنی P=15 bar, T=100 C°, pH =5 استفاده کنیم، کلکتور غیرنانویی (برنجی) 6.7 بار بایستی تعویض گردد، درحالی که کلکتور نانویی تنها 5 بار بایستی تعویض گردد، که نشاندهنده 1.7 بار صرفهجویی در خرید کلکتور یا به عبارتی بهتر صرفهجویی 25 درصدی در خرید همان 1 نوع کلکتور مطابق با رابطه زیر است:
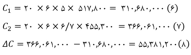
این بدین معنی است که اگر یک ساختمان 20 طبقهای دارای 6 واحد باشد و در هر واحد حداقل از 1 عدد کلکتور طبق شرایط خاص نامبرده شده (که درواقع یک نوع شرایط کاری نسبتاً سخت محسوب میشود) استفاده شده باشد، و عمر مفید این ساختمان را حدوداً 50 سال در نظر بگیریم، در صورت استفاده از کلکتور نانویی به جای کلکتور غیرنانویی (برنجی) مطابق با رابطه ۸ در زیر، تنها برای این ساختمان به میزان ۲۰۰/۳۸۱/۵۵ تومان (به ارزش پول امروز)، صرفهجویی ارزی شده است:

C1= هزینه کلکتور نانویی برای یک ساختمان 20 طبقه و دارای 6 واحد به مدت 50 سال
C2= هزینه کلکتور غیرنانویی (برنجی) برای یک ساختمان 20 طبقه و دارای 6 واحد به مدت 50 سال
ΔC= تفاوت هزینه کلکتور غیرنانویی (برنجی) و نانویی برای یک ساختمان 20 طبقه و دارای 6 واحد به مدت 50 سال
این رقم بدین معنی است که اگر فرض کنیم قیمت هر لامپ مهتابی 20 وات کممصرف جهت روشنایی یک اتاق را معادل ۰۰۰/۵۰ تومان در نظر بگیریم، به ازای استفاده از مابهالتفاوت اختلاف قیمت کلکتورهای نانویی با کلکتورهای غیرنانویی (برنجی) میتوان تعداد 1107 عدد از این نوع لامپها را برای روشنایی و استفاده در همان ساختمان مطابق با رابطه زیر خرید و به کار برد:
از طرفی مطابق با جدول 4 در مقایسه با کالکتورهای فولادی، اگرچه عمر مفید کلکتورهای غیرنانویی (فولادی) در بازه حدودی 15-10 سال است و بهصورت میانگین %25 بیش از کلکتورهای نانویی عمر مفید دارند اما به ازای همان 50 سال عمر مفید یک ساختمان، کلکتور غیرنانویی (فولادی) 4 بار و کلکتور نانویی 5 بار بایستی تعویض گردد، در حالی که کلکتورهای نانویی تفاوت قیمتی به میزان 37 برابر (%۳۷۶۲.۴-) کمتر از کلکتورهای غیرنانویی (فولادی) دارند که از لحاظ اقتصادی بههیچعنوان صرفه اقتصادی ندارند، به نحوی که برای همان ساختمان 20 طبقه که در هر طبقه آن 6 واحد موجود است، مطابق با رابطه زیر به میزان تومان صرفهجویی ارزی حاصل میشود، ضمن آنکه از لحاظ وزنی نیز هر کلکتور نانویی حدوداً 40 برابر سبکتر از هر کلکتور فولادی است:

C1= هزینه کلکتور نانویی برای یک ساختمان 20 طبقه و دارای 6 واحد به مدت 50 سال
C2= هزینه کلکتور غیرنانویی (فولادی) برای یک ساختمان 20 طبقه و دارای 6 واحد به مدت 50 سال
ΔC= تفاوت هزینه کلکتور غیرنانویی (فولادی) و نانویی برای یک ساختمان 20 طبقه و دارای 6 واحد به مدت 50 سال
همچنین در صورت استفاده از مابهالتفاوت اختلاف قیمت کلکتورهای نانویی با کلکتورهای غیرنانویی (فولادی) میتوان تعداد ۷۸۶/۱۸۵ عدد از این نوع لامپها را برای روشنایی و استفاده در همان ساختمان مطابق با رابطه ۱۳ در زیر خرید و به کار برد:

————————————————–
شرکتهای ایرانی تولیدکننده کلکتورهای نانویی:
1- شرکت: نانو آبکار ایساتیس
آدرس:
استان یزد، شهر یزد
وبسایت:
————————————————–
مراجع:
[۱] Gilbert Kaufman, Aluminum alloy castings: properties, processes, and applications. 2004.
[۲] Gilbert Kaufman, Aluminum Alloys for Packaging, Container, and Automotive Applications.
[۳] Albano Cavaleiro, Nanostructured coatings. 2007.
[۴] Amanda Sturgeon, Materials for Sustainable Sites: A Complete Guide to the Evaluation, Selection, and Use of Sustainable Construction Materials.
[۵] M. F. K. Jomova, “Arsenic: toxicity, oxidative stress and human disease,” Appl. Toxicol., 2011, doi: https://doi.org/10.1002/jat.1649.
[۶] M Aliofkhazraei, Developments in Corrosion Protection. 2014.
[۷] R. H. Doremus, “Alumina,” Ceram. Glas. Mater. Struct. Prop. Process., pp. 1–26, 2008, doi: 10.1007/978-0-387-73362-3_1/COVER.
[۸] Anagnostis I. Toulfatzis, “Final Heat Treatment as a Possible Solution for the Improvement of Machinability of Pb-Free Brass Alloys,” Metals (Basel)., 2018, doi: https://doi.org/10.3390/met8080575.
[۹] J. Both, “The modern era of aluminum electrolytic capacitors,” IEEE Electr. Insul. Mag., vol. 31, no. 4, pp. 24–33, 2015, doi: 10.1109/MEI.2015.7126071.
[۱۰] L. R. Krishna, A. S. Purnima, and G. Sundararajan, “A comparative study of tribological behavior of microarc oxidation and hard-anodized coatings,” Wear, vol. 261, no. 10, pp. 1095–1101, Nov. 2006, doi: 10.1016/J.WEAR.2006.02.002.
[۱۱] E. Mrema, Y. Itoh, A. Kaneko, and M. Hirohata, “Corrosion of aluminium alloy A6061-T6 members embedded in alkaline materials,” Corros. Eng. Sci. Technol., vol. 53, no. 2, pp. 102–113, Feb. 2018, doi: 10.1080/1478422X.2017.1402499.
————————————————–
[1] قیمتها مربوط به دیماه سال 1402 است.
————————————————–
تهیه و تنظیم:
- سروش صحرائیان
- اشکان عبدشاهی
بخش ترویج صنعتی ستاد توسعه فناوری های نانو و میکرو
====================================================================================
[جهت دسترسی به گزارش نهایی محصولات و شرکتهای دارای گواهی نانومقیاس ستاد توسعه فناوریهای نانو و میکرو به «کتب مرجع محصولات و تجهیزات نانو و صنعت» به نشانی (INDnano.ir/category/book) مراجعه کنید]
[همچنین برای دانلود فایل PDF کلیه گزارشات بهمراه جزئیات، به بخش گزارش های صنعتی پایگاه اینترنتی رسانه تخصصی نانو و صنعت (www.INDnano.ir/category/report) مراجعه نمایید]
====================================================================================

